Die UNIQA Group ist in der Lebens- und Krankenversicherung und in nahezu allen Sparten der Schaden- und Unfallversicherung aktiv. Sie betreut rund 8,1 Millionen Kunden, mehr als 17 Millionen Versicherungsverträge mit einem verrechneten Prämienvolumen (inklusive der Sparanteile der fonds- und der indexgebundenen Lebensversicherung) von rund 6,0 Milliarden Euro (2010: 6,2 Milliarden Euro) und Kapitalanlagen von 24,6 Milliarden Euro (2010: 24,8 Milliarden Euro). Die UNIQA Group ist die zweitgrößte Versicherung Österreichs und verfügt über ein starkes Netzwerk in Zentral- und Osteuropa mit einer Präsenz in 16 Ländern.

Prämienentwicklung
Das Gesamtprämienvolumen der UNIQA Group verringerte sich 2011 unter Berücksichtigung der Sparanteile der fonds- und der indexgebundenen Lebensversicherung in Höhe von 633,9 Millionen Euro (2010: 845,1 Millionen Euro) aufgrund des Rückgangs im Bereich der Einmalerläge um 3,9 Prozent auf 5.982,8 Millionen Euro (2010: 6.224,2 Millionen Euro). Die konsolidierten verrechneten Gesamtprämien sanken dagegen nur geringfügig um 0,6 Prozent auf 5.348,8 Millionen Euro (2010: 5.379,1 Millionen Euro).
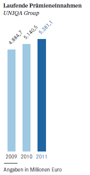
Im Bereich der Versicherungen gegen laufende Prämienzahlung gab es mit einem Wachstum von 4,7 Prozent auf 5.381,1 Millionen Euro (2010: 5.140,5 Millionen Euro) eine sehr positive Entwicklung. Das Einmalerlagsgeschäft verringerte sich 2011 jedoch aufgrund der Verlängerung der steuerlich begünstigten Mindestbehaltefrist von zehn auf 15 Jahre in Österreich und Rückgängen vor allem in Italien und Polen um 44,5 Prozent auf 601,7 Millionen Euro (2010: 1.083,7 Millionen Euro).
Die abgegrenzten Konzernprämien inklusive der Sparanteile der fonds- und der indexgebundenen Lebensversicherung (nach Rückversicherung) in Höhe von 599,7 Millionen Euro (2010: 823,1 Millionen Euro) gingen um 4,3 Prozent auf 5.705,2 Millionen Euro (2010: 5.961,7 Millionen Euro) zurück. Das abgegrenzte Prämienvolumen im Eigenbehalt (nach IFRS) sank um 0,6 Prozent auf 5.105,5 Millionen Euro (2010: 5.138,6 Millionen Euro).
Im Geschäftsjahr 2011 entfielen damit 45,4 Prozent (2010: 41,6 Prozent) des Prämienvolumens auf die Schaden- und Unfallversicherung, 16,8 Prozent (2010: 15,6 Prozent) auf die Krankenversicherung und 37,8 Prozent (2010: 42,8 Prozent) auf die Lebensversicherung.

In Österreich reduzierten sich die verrechneten Prämien inklusive der Sparanteile der fonds- und der indexgebundenen Lebensversicherung im Jahr 2011 um 3,7 Prozent auf 3.685,8 Millionen Euro (2010: 3.828,8 Millionen Euro). Die laufenden Prämien wuchsen jedoch um sehr zufriedenstellende 2,9 Prozent auf 3.545,8 Millionen Euro (2010: 3.447,5 Millionen Euro). Die Einmalerläge fielen hingegen aufgrund der bereits erwähnten Verlängerung der steuerlich begünstigten Mindestbehaltedauer um 63,3 Prozent auf 140,0 Millionen Euro (2010: 381,3 Millionen Euro).
Inklusive der Sparanteile der fonds- und der indexgebundenen Lebensversicherung betrug das abgegrenzte Prämienvolumen in Österreich 3.595,5 Millionen Euro (2010: 3.748,8 Millionen Euro). Das abgegrenzte Prämienvolumen im Eigenbehalt (nach IFRS) stieg 2011 um 1,1 Prozent auf 3.132,9 Millionen Euro (2010: 3.100,1 Millionen Euro).
In Zentral- und Osteuropa verlief die Prämienentwicklung im Jahr 2011 vor allem in der Schaden- und Unfallversicherung überaus positiv. Gedämpft wurde das Wachstum durch die rückläufige Entwicklung des Einmalerlagsgeschäfts in der Lebensversicherung. Die verrechneten Prämien inklusive der Sparanteile der fonds- und der indexgebundenen Lebensversicherung sanken 2011 um 4,2 Prozent auf 1.240,1 Millionen Euro (2010: 1.294,0 Millionen Euro). Die laufenden Prämien erhöhten sich hingegen stark um 7,7 Prozent auf 1.095,3 Millionen Euro (2010: 1.017,0 Millionen Euro). Das Einmalerlagsgeschäft brach jedoch um 47,7 Prozent auf 144,8 Millionen Euro (2010: 277,0 Millionen Euro) ein. Der Anteil Zentral- und Osteuropas an den Konzernprämien blieb 2011 dennoch stabil bei 20,7 Prozent (2010: 20,8 Prozent).

Inklusive der Sparanteile der fonds- und der indexgebundenen Lebensversicherung verringerte sich das abgegrenzte Prämienvolumen in CEE um 4,3 Prozent auf 1.160,9 Millionen Euro (2010: 1.212,4 Millionen Euro). Die abgegrenzten Prämien im Eigenbehalt (nach IFRS) betrugen 1.047,4 Millionen Euro (2010: 1.118,3 Millionen Euro).
In den westeuropäischen Ländern sank das verrechnete Prämienvolumen inklusive der Sparanteile der fonds- und der indexgebundenen Lebensversicherung im Geschäftsjahr 2011 insbesondere aufgrund des starken Rückgangs des Lebensversicherungsgeschäfts in Italien und Liechtenstein um 4,0 Prozent auf 1.056,9 Millionen Euro (2010: 1.101,5 Millionen Euro). Die laufenden Prämien entwickelten sich jedoch auch in dieser Region sehr positiv und stiegen stark um 9,5 Prozent auf 740,0 Millionen Euro (2010: 676,0 Millionen Euro). Getrieben durch den Rückgang des italienischen Geschäfts verringerten sich die Einmalerlagsprämien um 25,5 Prozent auf 316,9 Millionen Euro (2010: 425,4 Millionen Euro). Insgesamt blieb der Anteil Westeuropas an den Konzernprämien 2011 unverändert bei 17,7 Prozent (2010: 17,7 Prozent).
Inklusive der Sparanteile der fonds- und der indexgebundenen Lebensversicherung reduzierte sich das abgegrenzte Prämienvolumen in Westeuropa um 5,2 Prozent auf 948,8 Millionen Euro (2010: 1.000,5 Millionen Euro). Die abgegrenzten Prämieneinnahmen im Eigenbehalt (nach IFRS) stiegen hingegen um 0,5 Prozent auf 925,2 Millionen Euro (2010: 920,2 Millionen Euro).

Entwicklung der Versicherungsleistungen
Die Versicherungsleistungen vor Rückversicherung (siehe im Konzernanhang Notes 36) verringerten sich im Geschäftsjahr 2011 aufgrund des verbesserten Schadenverlaufs und des Ausbleibens von größeren Naturkatastrophen in der Schaden- und Unfallversicherung und des Rückgangs der Zahlungen für Versicherungsfälle und der rückläufigen Aufwendungen für die (latente) Gewinnbeteiligung in der Lebensversicherung um 10,2 Prozent auf 4.098,3 Millionen Euro (2010: 4.566,1 Millionen Euro). Die konsolidierten Versicherungsleistungen im Eigenbehalt sanken im vergangenen Jahr ebenfalls um erfreuliche 10,5 Prozent auf 3.992,1 Millionen Euro (2010: 4.458,3 Millionen Euro).
Dabei reduzierten sich die Versicherungsleistungen im Eigenbehalt 2011 in Österreich um 9,6 Prozent auf 2.484,0 Millionen Euro (2010: 2.749,0 Millionen Euro). In den zentral- und osteuropäischen Ländern verringerten sie sich sogar um 21,0 Prozent auf 684,6 Millionen Euro (2010: 866,2 Millionen Euro). In den westeuropäischen Märkten gingen die Versicherungsleistungen (nach Rückversicherung) ebenfalls zurück und betrugen im Berichtsjahr 823,5 Millionen Euro (2010: 843,1 Millionen Euro).

Aufwendungen für den Versicherungsbetrieb
Die gesamten konsolidierten Aufwendungen für den Versicherungsbetrieb (siehe im Konzernanhang Notes 37) abzüglich von Rückversicherungsprovisionen und Gewinnanteilen aus Rückversicherungsabgaben (siehe im Konzernanhang Notes 33) erhöhten sich im Geschäftsjahr 2011 aufgrund der Einmalbelastungen im Rahmen der Neuausrichtung der UNIQA Group in Höhe von rund 131 Millionen Euro um 14,9 Prozent auf 1.548,3 Millionen Euro (2010: 1.347,5 Millionen Euro). Die Aufwendungen für den Versicherungsabschluss stiegen dabei um 8,1 Prozent auf 1.011,6 Millionen Euro (2010: 935,7 Millionen Euro). Die sonstigen Aufwendungen für den Versicherungsbetrieb abzüglich der erhaltenen Rückversicherungsprovisionen erhöhten sich um 30,3 Prozent auf 536,7 Millionen Euro (2010: 411,7 Millionen Euro).
In Österreich stiegen die Aufwendungen für den Versicherungsbetrieb um 19,4 Prozent auf 923,9 Millionen Euro (2010: 773,9 Millionen Euro). In CEE betrugen sie 2011 404,0 Millionen Euro (2010: 360,8 Millionen Euro) – das bedeutete ein Plus von 12,0 Prozent. In den westeuropäischen Ländern wuchsen die Aufwendungen dagegen nur geringfügig um 3,5 Prozent auf 220,3 Millionen Euro (2010: 212,8 Millionen Euro) an.
Die Kostenquote nach Rückversicherung der UNIQA Group – das Verhältnis der gesamten Aufwendungen für den Versicherungsbetrieb zu den abgegrenzten Konzernprämien inklusive der Sparanteile der fonds- und der indexgebundenen Lebensversicherung – erhöhte sich aufgrund der oben dargestellten Entwicklung im abgelaufenen Jahr auf 27,1 Prozent (2010: 22,6 Prozent). Bereinigt um die Einmalbelastungen im Zusammenhang mit der Konzernneuausrichtung betrug die Kostenquote 24,8 Prozent. Die Kostenquote vor Rückversicherung lag bei 26,6 Prozent (2010: 22,0 Prozent).

Kapitalanlageergebnis
Die gesamten Kapitalanlagen inklusive eigengenutzter Grundstücke und Bauten, als Finanzinvestitionen gehaltener Immobilien, Anteilen an assoziierten Unternehmen, Kapitalanlagen der fonds- und der indexgebundenen Lebensversicherung und laufenden Guthaben bei Kreditinstituten und Kassenbestand gingen im Geschäftsjahr 2011 leicht zurück und sanken um 0,7 Prozent auf 24.601,1 Millionen Euro (31. Dezember 2010: 24.778,7 Millionen Euro).
Die Nettoerträge aus Kapitalanlagen sanken vor allem aufgrund der Netto-Belastung durch Abschreibungen auf griechische Schuldtitel in Höhe von rund 348 Millionen Euro und der generell negativen Entwicklung auf den Finanzmärkten um 74,0 Prozent auf 226,6 Millionen Euro (2010: 872,3 Millionen Euro) an. Eine Detaildarstellung der Vermögenserträge befindet sich im Konzernanhang (Notes 34).
Ergebnis vor Steuern bei minus 325,6 Millionen Euro
Das Ergebnis der gewöhnlichen Geschäftstätigkeit der UNIQA Group war 2011 erstmals negativ und belief sich aufgrund der Abschreibungen auf griechische Schuldtitel und der Einmalbelastungen in Zusammenhang mit dem Konzernumbau auf minus 325,6 Millionen Euro (2010: 141,8 Millionen Euro). Der Periodenüberschuss/-fehlbetrag belief sich im Berichtsjahr auf minus 243,8 Millionen Euro (2010: 90,9 Millionen Euro). Das Konzernergebnis lag bei minus 245,6 Millionen Euro (2010: 42,3 Millionen Euro). Der Vorstand wird dem Aufsichtsrat und der Hauptversammlung daher vorschlagen, für das Geschäftsjahr 2011 auf die Ausschüttung einer Dividende zu verzichten.

Eigenmittel und Bilanzsumme
Das Gesamteigenkapital der Gruppe sank 2011 aufgrund des negativen Ergebnisses im abgelaufenen Geschäftsjahr um 28,0 Prozent oder 425,9 Millionen Euro auf 1.095,6 Millionen Euro (31. Dezember 2010: 1.521,5 Millionen Euro). Darin enthalten waren Anteile anderer Gesellschafter in Höhe von 219,7 Millionen Euro (31. Dezember 2010: 244,3 Millionen Euro). Die Konzernbilanzsumme verringerte sich im Berichtsjahr geringfügig um 0,5 Prozent und betrug am 31. Dezember 2011 28.567,7 Millionen Euro (31. Dezember 2010: 28.703,7 Millionen Euro).
Cashflow
Der Cashflow aus der laufenden Geschäftstätigkeit der UNIQA Group betrug 2011 393,9 Millionen Euro (2010: 924,7 Millionen Euro). Der Cashflow aus der Investitionstätigkeit belief sich auf minus 186,4 Millionen Euro (2010: minus 1.125,2 Millionen Euro). Der Finanzierungs-Cashflow lag bei minus 58,3 Millionen Euro (2010: minus 63,7 Millionen Euro). Für die Dividende des Geschäftsjahres 2010 wurden 56,9 Millionen Euro aufgewendet.
Insgesamt veränderte sich der Fonds liquider Mittel um 149,2 Millionen Euro (2010: minus 264,3 Millionen Euro). Ende 2011 standen Finanzmittel in Höhe von 683,1 Millionen Euro (2010: 532,9 Millionen Euro) zur Verfügung.

Mitarbeiter
Die durchschnittliche Anzahl der Arbeitnehmer der UNIQA Group erhöhte sich 2011 geringfügig auf 15.081 (2010: 15.066). Davon waren 6.179 (2010: 6.148) im Vertrieb als angestellter Außendienst tätig. Die Anzahl der Arbeitnehmer in der Verwaltung verringerte sich dagegen auf 8.902 (2010: 8.918).
In der Region Zentraleuropa (CE) – Polen, Slowakei, Tschechische Republik und Ungarn – hatte die Gruppe im Geschäftsjahr 2011 2.978 Mitarbeiter (2010: 2.995), 1.982 Personen (2010: 2.080) waren in der Region Südosteuropa (SEE) – Albanien, Bosnien und Herzegowina, Bulgarien, Kosovo, Kroatien, Mazedonien, Montenegro und Serbien – und 2.273 Personen (2010: 2.124) in der Region Osteuropa (EE) – Rumänien und der Ukraine – beschäftigt. In Russland (RU) arbeiteten 56 Mitarbeiter (2010: 43). Die durchschnittliche Zahl der Arbeitnehmer in den westeuropäischen Märkten betrug 1.067 (2010: 1.023). In Österreich waren 6.725 Mitarbeiter angestellt (2010: 6.801). Einschließlich der Mitarbeiter der exklusiv für die UNIQA Group tätigen GeneralAgenturen sind 22.275 Personen für die Gruppe aktiv.
Im Jahr 2011 waren 53 Prozent der in Österreich in der Verwaltung eingesetzten Mitarbeiter Frauen. Im Außendienst betrug das Verhältnis 80 Prozent Männer zu 20 Prozent Frauen. 23 Prozent (2010: 19 Prozent) der Arbeitnehmer waren teilzeitbeschäftigt. Das Durchschnittsalter lag im abgelaufenen Jahr weiterhin bei 42 Jahren (2010: 42 Jahre). Insgesamt nahmen 2011 12,1 Prozent (2010: 11,7 Prozent) der Mitarbeiter am UNIQA Erfolgsbezugssystem teil – einem variablen Entlohnungssystem, das sowohl an den Erfolg des Unternehmens als auch an die persönliche Performance gekoppelt ist. Darüber hinaus bietet die UNIQA Group jungen Mitarbeitern in der Ausbildung die Möglichkeit, fremde Kulturen kennenzulernen und internationale Kontakte zu knüpfen. Derzeit befinden sich 86 Lehrlinge in Ausbildung. Im Jahr 2011 wurden 36 Lehrlinge neu aufgenommen.
